Las respuestas de la IA pueden contener errores.
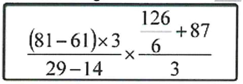
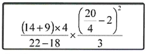
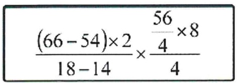
1 - Resuelva el siguiente cálculo:

144.
108.
128.
110.



